
文章信息
第一作者:马超
通讯作者:范亚文 教授,陆欣鑫 副教授通讯单位:黑龙江省水生生物多样性研究省级重点实验室
https://doi.org/10.1016/j.ecolind.2023.111258
亮点
• 证实了浮游和底栖硅藻群落的构建过程主要受扩散限制。
• 阐明扩散限制对底栖硅藻群落构建的影响更大。
研究进展
硅藻分为浮游硅藻和着生硅藻。着生硅藻可通过河流水体频繁搅动或无脊椎动物摄食等再悬浮为浮游硅藻;当河流水体平缓时浮游硅藻也可下沉为着生硅藻。然而,浮游硅藻和着生硅藻也会相互争夺光和养分等非生物资源。浮游硅藻具有利用光的优势;着生硅藻具有利用养分的优势。所以猜测浮游硅藻和着生硅藻通过这种耦合与竞争的方式可能会对群落构建过程产生重大影响。阿什河是松花江右岸一级支流,流域水生生物多样性保护不仅关系到哈尔滨市经济社会的可持续发展,而且对松花江流域高质量发展具有至关重要的作用。然而,流域内浮游硅藻和着生硅藻在不同水文期生物多样性和群落构建机制是否存在显著差异是尚未明确的关键科学问题(图1)。

图1 图文摘要
主要结论:(1)平水期浮游硅藻的α-和β-多样性较高,枯水期着生硅藻的α-和β-多样性较高,而丰水期浮游和底栖硅藻的α-和β-多样性均降低。(图3)

图2 不同水文期浮游硅藻和着生硅藻α和β多样性指数
(2)不同水文期的浮游硅藻和底栖硅藻群落结构存在显著差异,且浮游硅藻群落之间的差异比底栖硅藻群落之间的差异更明显。(图3)

图3 不同水文期浮游硅藻和着生硅藻NMDS分析
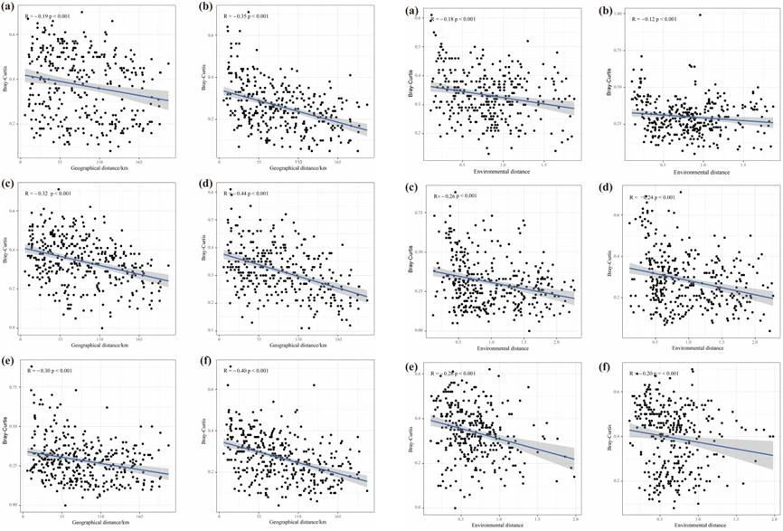
(3)距离衰变分析表明,ASRB中两类硅藻群落的分布受扩散限制和环境选择的影响。(图4)

图4 不同水文期浮游硅藻和着生硅藻距离衰减模型
(4)方差分解分析表明,扩散限制是浮游硅藻和着生硅藻时空分异的主要驱动因素。(图5)

图5 不同水文期浮游硅藻和着生硅藻VPA分析
作者介绍

马超,硕士研究生,研究方向溪流底栖硅藻物种共存机制及水生态健康评价。
通讯邮箱:2386689412@qq.com

陆欣鑫,博士,哈尔滨师范大学生命科学与技术学院 副教授,硕士生导师,研究方向:溪流底栖硅藻物种共存机制及水生态健康评价。发表SCI收录论文30余篇。
通讯邮箱:luxinxinchina@163.com

范亚文,博士,哈尔滨师范大学生命科学与技术学院 教授,博生导师,黑龙江省水生生物多样性研究省级重点实验室主任,研究方向硅藻分类、水生态系统完整性及健康评价。发表SCI收录论文80余篇。主持国家自然科学基金项目8项。
通讯邮箱:fanyaw@163.com